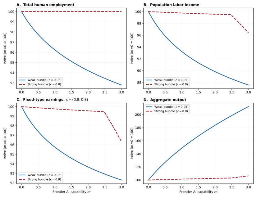
In the medium to long term, AI may replace all human jobs (or maybe not). But in the short term, AI doesn’t seem to be doing this yet. Employment rates for prime-age workers in the U.S. are hovering near all-time highs: A recent survey of corporate CFOs found “little evidence of near-term aggregate employment declines due to AI.” A survey of European firms found no evidence of job reductions so far, despite rising productivity due to AI. Geoffrey Hinton, one of the pioneers of modern AI, famously predicted the imminent displacement of all radiologists by AI algorithms; in fact, radiologists are in greater demand than ever. So even though AI may displace human beings en masse in the future, it’s not doing that today. But it is likely to change the nature of work. Software engineers, for whom “writing code” was a big part of the job description just a few months ago, are now mainly checkers and maintainers of code written by AIs. But this hasn’t eliminated the need for software engineers — at least, not yet. It has just shifted their job descriptions. Humlum and Vestergaard (2026) find that so far, this pattern — workers shifting to new tasks without losing their jobs — is the norm, at least in Denmark:
In other words, so far, AI is replacing tasks, not jobs. Alex Imas and Soumitra Shukla have written that as long as there are a few things that only humans can do, this pattern can be expected to hold. Observers of AI consistently find that its capabilities are “jagged” — it’s much better at some tasks than others. That’s good news for people who are worried about losing their jobs (at least in the next decade). But it’s still very troubling for people trying to decide what to study. A decade ago, it made sense — or at least, it seemed to make sense — to tell young people to “learn to code”. Nowadays, what do you tell them to learn? What tasks will be the ones that humans still need to do, and which will be subsumed by AI? With AI getting steadily better at a very wide variety of tasks, it’s hard to predict exactly what humans will still be doing in five years, even if you’re pretty sure they’ll be doing something. I have some friends who have spent the last decade or more thinking carefully about what the future of work will look like in the age of AI. No one has ever found a satisfactory answer. As AI technology has developed and changed, even the most plausible predictions for the future of human labor tend to get falsified almost as quickly as they’re made. But I’ve been thinking about this question too, and I think I’m beginning to see the shape of an answer. I think the near future of work will mostly be divided into three types of jobs — salarymen, specialists, and small businesspeople. Let’s talk about specialists first, because they’re the easiest to understand. A new theory by Luis Garicano, Jin Li, and Yanhui Wu describes why some workers will keep their jobs largely as they exist today. Like many economists, Garicano et al. envision a job as a bundle of various tasks. But they also theorize that in some jobs, these tasks are only “weakly bundled” — you don’t really need the same person to do all of those tasks. For these jobs, it would be easy to divide up the tasks between different workers — or between a human and an AI. But in other jobs, the authors assume that the tasks are “strongly bundled” — the same person who does one part of the job has to do the other parts, or the job can’t be done. The paper’s basic conclusion is that AI tends to replace weakly bundled jobs a lot more quickly than it replaces strongly bundled ones. For example, they theorize that radiologists still have jobs because even though AI can do most of the task of basic scan-reading, there are a lot of other pieces of the job that radiologists still need to do in order to deliver patients the kind of care and expertise they demand. They foresee employment in strongly bundled industries resisting automation until AI capabilities get extremely good:
The people in those strongly bundled jobs are specialists. An example of a specialist might be a blogger. AI, so far, is very good at doing background research, proofreading, and a number of other tasks that are useful for the writing process. But even though it can generate infinite amounts of text, AI is not yet good at writing. Writing communicates a unique human perspective; simply pressing a button to generate text doesn’t say what you want to say. So the tasks that make up my own job are — so far, at least — strongly bundled. AI is making me more productive, but so far it isn’t putting me in danger of unemployment. But what about those weakly bundled jobs? Garicano et al. predict that these will begin to decline only after demand becomes sufficiently inelastic — in other words, once AI becomes so productive that its output hits diminishing returns for the consumer. After that point, automation tends to replace human labor — it becomes a way to make the same amount of stuff with fewer workers, instead of a way to make more stuff with the same amount |